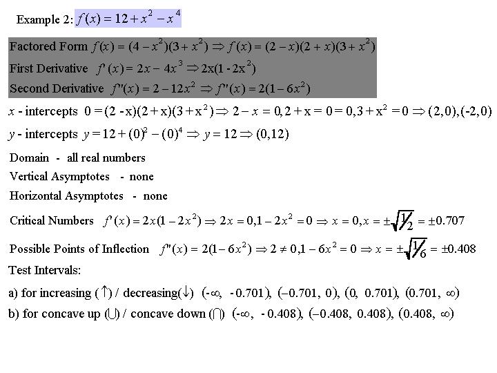
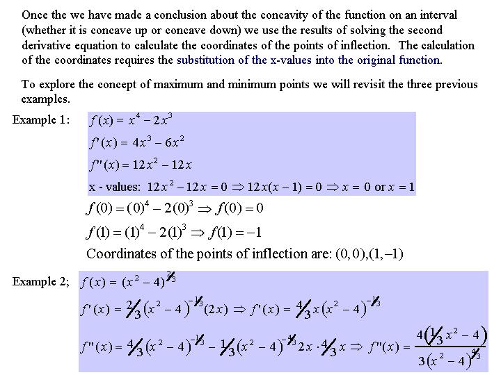
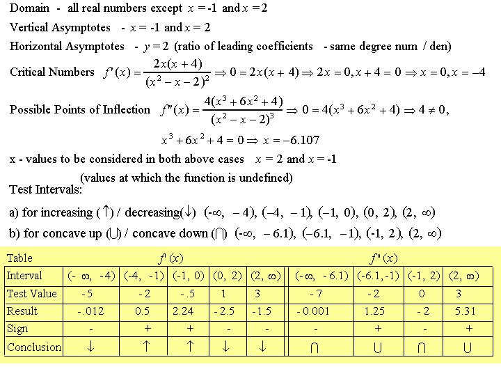
- Check the results of the above three examples -

- Check the results of the above three examples -

- Check the results of the above three examples -

- Check the results of the above three examples -